| Sistema geológico

| SISTEMA GEOLÓGICO

Mecanismos de generación, rutas migratorias y modelos de acumulación y pérdida de hidrógeno natural.

Serpentinización

El agua se introduce en las rocas ultramáficas por fracturas, reaccionando con los minerales presentes y liberando hidrógeno, este proceso involucra la oxidación del hierro y la reducción del agua.

Entornos Geológicos: Rocas Ultramáficas, Dorsales Oceánicas, Ofiolitas.

Roca generadora Fórmula específica del proceso de generación de hidrógeno por procesos de Serpentinización.
Fuente: (Marcaillou et al., 2011).

Radiólisis del Agua

Roca generadora Reacciones principales que ocurren durante las tres etapas de la radiólisis del agua.
Fuente: Le Caër, 2011.

La desintegración radiactiva de elementos como U, Th y K en las rocas emite radiación ionizante que disocia moléculas de agua, generando radicales libres. Su recombinación da lugar a hidrógeno molecular.

Entornos Geológicos: Granitos tipo A, Cratones, Escudos Precámbricos, Rocas con alto contenido radiactivo.

Mecanoradicales

Roca generadora Esquema de molienda utilizado para estudiar la generación de hidrógeno durante la trituración de cuarzo.
Fuente: Lefeuvre et al., 2025.

Durante el fallamiento tectónico, la fractura de minerales genera superficies frescas con radicales libres altamente reactivos. Estos radicales interactúan con moléculas de agua (H₂O), promoviendo reacciones redox que liberan hidrógeno molecular.

Entornos Geológicos: Zonas tectónicamente activas.

Desgasificación Magmática

Roca generadora Proceso de generación de hidrógeno por Desgasificación Magmática.
Fuente: (Feodoridi & Feodoridi, 2024).

En zonas volcánicas, además de vapor de agua y CO₂, también se libera hidrógeno. Este gas puede salir directamente del magma o formarse cuando compuestos como el sulfuro de hidrógeno (H₂S) reaccionan con agua o minerales a altas temperaturas, especialmente en zonas hidrotermales.

Entornos Geológicos: Fumarolas, Zonas Volcánicas.

Oxidación de Fe2+ en Minerales Silicatados

La oxidación del Fe²⁺ presente en la biotita o en la hornblenda durante procesos hidrotermales libera electrones que reducen protones del agua, generando hidrógeno molecular y formando como subproductos minerales secundarios como hematita o magnetita.

Entornos Geológicos: Granitos alterados, Zonas hidrotermales.

Roca generadora a. El hierro ferroso (Fe²⁺) se oxida a férrico (Fe³⁺), liberando electrones. b. Los electrones reducen protones (H⁺) presentes en el agua, formando hidrógeno molecular.
Fuente: (Murray et al., 2020).

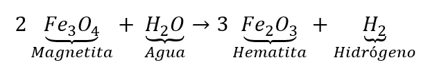
Martitización

En este proceso la magnetita (Fe₃O₄) se transforma en hematita (Fe₂O₃) bajo condiciones de oxidación en presencia de agua. Durante esta reacción, el Fe²⁺ contenido en la magnetita se oxida a Fe³⁺, que se incorpora a la estructura de la hematita, liberando electrones que reducen protones del agua y generan hidrógeno molecular como subproducto (Geymond et al., 2022).

Entornos Geológicos: Formaciones de Hierro Bandeado (BIF), Gabros Cumulares.

Roca generadora mula específica del proceso de generación de hidrógeno por procesos de martitización.
Fuente: (Feodoridi & Feodoridi, 2024).

Pirólisis de Materia Orgánica

Roca generadora Cuencas sedimentarias profundas con alta madurez térmica, Zonas con influencia magmática.
Fuente: (Hanson & Hanson, 2024).

Proceso termoquímico donde el kerógeno rico en materia orgánica se descompone por altas temperaturas (>300 °C) y presión, generando hidrocarburos y, a temperaturas superiores (300–600 °C o más), hidrógeno molecular y carbono (grafito) (CH4 = C + 2H2).

Entornos Geológicos: Cuencas sedimentarias profundas con alta madurez térmica, Zonas con influencia magmática.

Mecanismos de Pérdida

Puede migrar por estructuras geológicas como fallas y fracturas, además de difundirse lentamente por las rocas. Este fenómeno puede dar lugar a pequeñas depresiones superficiales, conocidas como (círculos de hadas).

En niveles superficiales del subsuelo, ciertos microorganismos lo aprovechan como fuente energética, generando como producto gases como metano (CH4).

En niveles más profundos, interactúa químicamente con minerales y otros gases, formando H2O, CH4 y diversos compuestos minerales mediante reacciones abióticas.

Modelos conceptuales del sistema de hidrógeno

Magnetotelúrica (MT) El modelo muestra cómo el hidrógeno se genera en profundidad, migra, es consumido (biótica o abióticamente), se acumula en trampas geológicas o escapa a la atmósfera.
Fuente: (Ellis & Gelman, 2024).

El modelo muestra cómo el hidrógeno se genera en profundidad, migra, es consumido (biótica o abióticamente), se acumula en trampas geológicas o escapa a la atmósfera.

Magnetotelúrica (MT) Diagrama esquemático que muestra un modelo de sistema de hidrógeno poco profundo con tipos de trampas potenciales: trampa estructural, trampa estructural con sello no sedimentario, trampa de yacimiento no sedimentario, hidrógeno adsorbido, trampa estratigráfica. Se incluyen dos tipos de rocas ricas en hierro: Cratón precámbrico y Cinturones de ofiolitas, que actúan como principales rocas generadoras de hidrógeno natural. Las fuentes de calor (por ejemplo, el magmatismo) potenciarán la generación de hidrógeno.
Fuente: (Patiño et al., 2024).

Representa un sistema somero donde rocas ricas en hierro (ofiolitas o precámbricas) generan hidrógeno por serpentinización y radiólisis a < 100 °C. El hidrógeno migra por fracturas o difusión, acumulándose en trampas estructurales, estratigráficas o quedando adsorbido en arcillas. El agua subterránea y el calor (magmatismo) pueden potenciar este sistema.

Magnetotelúrica (MT) odelo de hidrocarburos con adición de hidrógeno.
Fuente: (anson & Hanson, 2024).

El hidrógeno se genera por pirólisis de materia orgánica (>300 °C) y desgasificación del manto, típicamente en cuencas de rift con gradientes térmicos altos y fallas profundas que actúan como conductos. El gas se acumula en trampas donde las condiciones geológicas lo permiten.

Magnetotelúrica (MT) El hidrógeno geológico puede generarse por radiolisis del agua en rocas antiguas, serpentinización en rocas ultramáficas y posibles flujos profundos desde el manto. Se pierde por filtraciones, consumo microbiano o reacciones con rocas. Su extracción puede lograrse perforando trampas, accediendo directamente a rocas ricas en hierro o estimulando la producción mediante inyección de agua (y CO₂ para captura simultánea).
Fuente: (Hand, 2023).

El hidrógeno geológico puede generarse por radiolisis del agua en rocas antiguas, serpentinización en rocas ultramáficas y posibles flujos profundos desde el manto. Se pierde por filtraciones, consumo microbiano o reacciones con rocas. Su extracción puede lograrse perforando trampas, accediendo directamente a rocas ricas en hierro o estimulando la producción mediante inyección de agua (y CO₂ para captura simultánea).

Comparación entre Sistemas de H₂ y HC

Aunque aún no se comprende del todo cómo se acumula naturalmente el hidrógeno bajo tierra, casos como el de Bourakebougou sugieren que existen sistemas de generación, migración y acumulación de hidrógeno, similares en algunos aspectos a los sistemas petroleros, aunque con diferencias fundamentales.

Gravimetría Comparación entre el Sistema de hidrógeno y el Sistema de hidrocarburos.
Modificado de: (Zhang & Li, 2024, Zhao et al., 2023).

Referencias Bibliográficas

  • Ellis, G. S. & Gelman, S. E. (2024). Model predictions of global geologic hydrogen resources. Sci. Adv. 10 , eado0955 - Consulta aquí esta referencia
  • Feodoridi, K., & Feodoridi, G. (2024). Geological hydrogen. Different sources and mechanisms for the production of natural hydrogen. Preprint, 1–25. - Consulta aquí esta referencia
  • Geymond, U., Ramanaidou, E., Lévy, D., Ouaya, A., & Moretti, I. (2022). Can Weathering of Banded Iron Formations Generate Natural Hydrogen? Evidence from Australia, Brazil and South Africa. Minerals, 12(2), 163. - Consulta aquí esta referencia
  • Hand, E. (2023). Hidden Hydrogen: Does Earth hold vast stores of a renewable, carbon-free fuel? Science, 379(6633), 630–636. - Consulta aquí esta referencia
  • Hanson, J., & Hanson, H. (2024). Hydrogen’s organic genesis. Unconventional Resources, 4, 100057. - Consulta aquí esta referencia
  • Le Caër, S. (2011). Water Radiolysis: Influence of Oxide Surfaces on H2 Production under Ionizing Radiation. Water, 3(1), 235-253. - Consulta aquí esta referencia
  • Lefeuvre, N., Truche, L., Donzé, F.-V., Vandenborre, J., Gaucher, E. C., & Magnin, V. (2025). The contribution of mechanoradical reactions to crustal hydrogen generation. Earth and Planetary Science Letters, 660, 119363. - Consulta aquí esta referencia
  • Marcaillou, C., Muñoz, M., Vidal, O., Parra, T., & Harfouche, M. (2011). Mineralogical evidence for H2 degassing during serpentinization at 300°C/300bar. Earth and Planetary Science Letters, 303(3–4), 281–290. - Consulta aquí esta referencia
  • Zhang, M, & Li Y. (2024). The role of geophysics in geologic hydrogen resources. Journal of Geophysics and Engineering (2024) 21, 1242–1253. - Consulta aquí esta referencia
  • Zhao, H., Jones, E. A., Singh, R. S., Ismail, H. H. B., & Tan, S. W. (2023). The hydrogen system in the subsurface: Implications for natural hydrogen exploration. Paper presented at the ADIPEC, Abu Dhabi, UAE. Society of Petroleum Engineers. SPE-216710-MS. - Consulta aquí esta referencia